Maplesoft Maple,简称Maple。这是一款功能强大且易于使用的数学软件,广泛应用于数学家、教育工作者、学生、工程师和科学家对数学问题进行分析、探索、可视化和解决。Maple软件提供超过了6000个计算命令、100多个不同领域的算法函数包,以及丰富的数学知识等,既可以轻松帮助广大如学生,教育者,研究人员群体从简单的数字计算到高度复杂的非线性问题进行更专业、高效的分析探索,也可以在单一的环境中完成多领域物理系统建模和仿真、符号计算、数值计算、程序设计、技术文件、报告演示、算法开发、外部程序连接等功能,满足各个层次用户的需要,带来专为数学设计的复杂编程语言开发复杂的解决方案。大大提升你的工作效率,欢迎下载使用!
软件特色
1、轻松准确地求解数学问题,而不必担心手工失误。
2、快速求解数学问题,求解那些手工计算难以实现的问题,并且省时省力。
3、可以在单一文件中组合计算、文字、图形、视频、声音、和模型等,不需要浪费时间重建您的思路过程。
4、易学易用的编程语言,可以开发复杂算法、高级应用程序、或者计算书,并且代码更短、易于编写、易于调试、易于维护。
5、创建交互式应用程序 ,无需是专业程序猿,并且可以通过网络分享应用。
6、解决几乎所有数学领域或者依赖于数学的相关领域的问题,内置超过6,000个计算命令,100多个算法函数包,包括:微积分函数包、线性代数函数包、统计和数据处理函数包、金融建模函数包、信号处理函数包、深度学习函数包、图论函数包、微分几何函数包、组合数学函数包、离散变换函数包、动态系统函数包、优化函数包、物理函数包等。
7、洞察您的问题、答案、数据、概念,通过提供广泛类型的 二维和三维图形、动画,包括隐式、等高图、复数、极、向量场、密度、保角变换、常微分方程、偏微分方程、统计图、时域和频域响应图、根轨迹图、根轮廓图等
Maplesoft Maple数学软件通用安装教程示例
1、从本站下载解压后,即可得到Maple源程序和补丁文件

2、双击“setup_Windows.exe”文件运行,勾选接受协议

3、选择软件安装路径,一般默认即可

4、许可安装类型选择Single Use License

5、注意:此处去掉升级勾选

6、耐心等待安装完成,先将默认启动程序取消,暂不运行

7、此时,先将补丁文件“maple.dll”复制到软件安装目录下进行替换
默认安装目录为【C:\Program Files\Maple\bin.X86_64_WINDOWS】

8、接着再将补丁文件“license.dat”复制粘贴到软件许可证目录下
默认安装目录为【C:\Program Files\Maple\license】

9、至此,软件Maplesoft Maple即为安装激活成功,所有功能可无限制免费使用哦!
基本使用教程
1、点击新建,新建个文档

2、或者点击文件中的文件模式进行新建

3、输入(1-x^2),按“/”键会发现自动为分子,再输入1+x^2变为分母

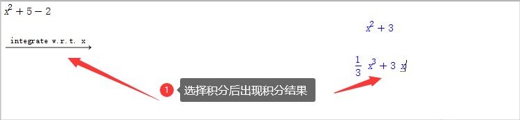
4、输入x^2+5-2函数,点击回车,输出结果

5、再在输出结果中右击选择选项,例如选择积分integrate

6、积分选择后,显示积分的结果

7、在积分结果右击选项选择plot中的2D-plot选项,绘制函数的图像
怎么用Maple求函数的导数
1、Maple的基本界面如下
我们在下面箭头所指的地方贴代码,并得到运行结果,也可以创建新文档

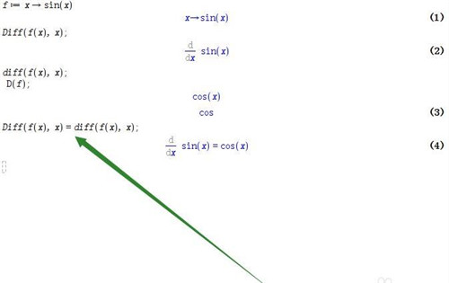
2、举个简单的例子,求f(x)=sin(x)的导数。
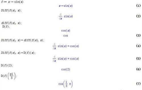
先定义函数:f:=x->sin(x)

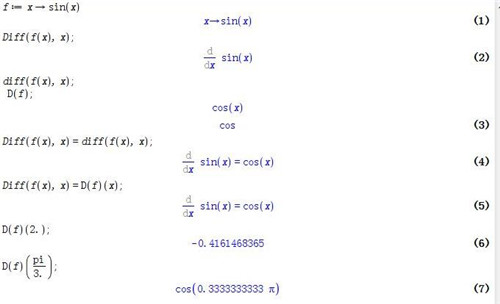
3、Diff(f(x),x);
这个命令的运行,并非求导,而是返回求导符号

4、求导,可以使用diff(f(x),x);也可以使用D(f,x);
比较一下二者的区别

5、如果要输出一个完整的求导公式,就这样:Diff(f(x),x)=diff(f(x),x)

6、还可以这样:Diff(f(x),x)=D(f)(x)

7、如果要计算函数在x=2的导数:D(f)(2);
pi在Maple里面表示π:D(f)(pi/3);

8、如果我们在数字后面加上小数点,就得到数值形式:
D(f)(2.);D(f)(pi/3.)
软件亮点
1、支持任意精度的符号和数值计算
2、基本和特殊的数学函数库
3、复数和区间运算
4、有理数,有限域,代数数域和代数函数域上的多元多项式的算术,最大公约数和分解
5、微分代数
6、矩阵操作工具,包括对稀疏数组的支持
7、数学函数图形和动画工具
8、方程组,丢番图方程,ODE,偏微分方程,DAE,DDE和递归关系的求解器
9、用于离散和连续微积分的数字和符号工具,包括确定和不定积分,有限和无限求和,自动微分和连续和离散积分变换
10、受约束和不受约束的局部和全局优化
11、统计包括模型拟合,假设检验和概率分布
12、用于数据处理,可视化和分析的工具
13、概率和组合问题的工具
14、支持时间序列和基于单位的数据
15、连接到在线收集财务和经济数据
16、财务计算工具,包括债券,年金,衍生品,期权等
PDF XChange Editor
GeoGebra Graphing 图形计算器
企业微信
腾讯元宝
QOwnNotes
云之家oa办公系统
里诺进销存管理软件 单机版
执业药师万题库 「含模拟器」









Adobe Photoshop 2025 v26.11.0.18
微信电脑版 v4.1.4
Google Chrome 谷歌浏览器 v142.0.7444.176
MPC-HC 播放器 v2.5.3
Autodesk AutoCAD 2026 v2026.0.1
AutoDWG DWGSee CAD 2026 v8.70
Audacity v3.7.4
Navicat for MySQL v17.3.5
TechSmith Snagit 2025 v25.2.0
YQArch v6.7.4